珠海声峰超声波科技有限公司

声峰超声波 . 行业代工厂全CNC加工,精度高,刚性强

声峰超声波-匠心制造不负客户的每一次信任
操作使用
超声波换能器的锁相式频率自动跟踪
来源: 时间:2022-09-19

前面文章中讲到了关于电跟踪法的阻抗电桥形式,接下来继续了解下还有哪些形式。

(2)负载分压方式的反馈系统

  这种系统如图1.30所示,图中的整个电路形成闭环迥路,电路在通电的瞬间产生一个电脉冲, 经功放加至换能器两端,于是换能器受激振动。其振动频率为换能器本身的固有频率,在换能器两端的振荡信号,经分压后送至可调移相器上,再送至功放。当可调移相器调至相位满足自激条件时,系统自激于换能器的固有频率上。换能器谐振频率的微小变化,电路系统均能及时跟踪使工作始终处于最佳状态。

1.30

(3)锁相式频率自动跟踪
锁相式频率自动踉踪系统与前两种自激系统相比,电路要复杂得多,但能获得较好的频率自动跟踪性能。因此在超声波塑料焊接机的发生器中获得越来越广泛的应用。
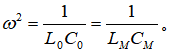
采用锁相技术进行频率自动跟踪的关键,是如何获得负载电路中电压与电流之间的相位差。压电换能器在谐振频率附近的等效电路如图1.31所示。图中虚线框内为换能器等效回路。C0为换能器静态电容。RM为机械阻反映到电端的阻(如果忽略机械损耗,即为反映到电端的辐射阻);LM为动 态等效质量反映到电端的值;CM为等效力顺反映到电端的动态电容值为换能器工作在谐振状态时的并联匹配电感。该迥路的谐振频率

1663294511073

在谐振状态时,换能器两端电压U= iR ,即电压与电流是同相同的。当换能器失谐时U与i不再同相,其电抗与臂特性曲线如图1.32 所示。图中ωs为串联谐振频率。ωp为并联谐振频率。

1.31-32-33

图1. 33为串联谐振频率附近的相频特性。由图1. 33可知,当ω<ωe时电渔容性,i超前U,相位差为负;当ωs<ω<ωp时电路呈感性,U超前i,相位差为正。当ω=ωs时,电路呈纯阻特性,i电 流与U电压同相位。因此,换能器两端的电压与流过换能器的电流,他们之间的相位差正负、大小, 代表了激励信号的频率与振动系统固有频率之间的关系。所以若把电压、电流相位差信号取岀,作为激励振动系统谐振频率变化的控制信号,达到频率跟踪的目的。这就是锁相式频率跟踪的基本原理。

相关资讯