珠海声峰超声波科技有限公司

声峰超声波 . 行业代工厂全CNC加工,精度高,刚性强

声峰超声波-匠心制造不负客户的每一次信任
操作使用
声峰超声波浅谈PC材料的应力问题相关知识
来源: 时间:2022-03-09
超声波塑料焊接机中可应用的材料之一——PC材料,由于应力会导致在焊接中出现很多问题,接下来声峰超声波厂家带大家了解一下PC材料的应力问题相关知识

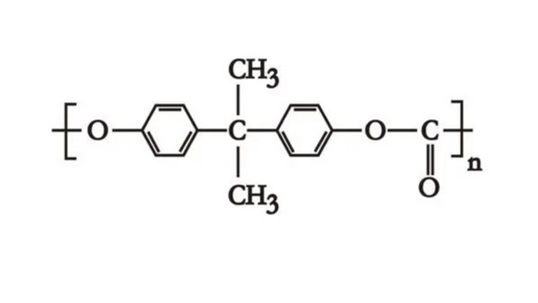
一、首先了解一下PC材料。
PC材料即聚碳酸酯,由苯环、异丙基组成的结构尺寸稳定,但柔顺性差、低收缩和翘曲、易开裂和溶胀;由端羧基、端羟基、酯基组成的结构易吸水、水解,干燥,成型加工的水分控制在0.02%以内。
1
二、接着了解内应力的表现。

1、应力痕。顶针印、骨位印、厚薄段差位印、镶件背面亮印等等色泽不均匀的外观不良。

2

5、双折射。造成光学制品成像模糊、重影、耐化学性差。

4、尺寸变化。因为应力的存在,产品放置或后处理的过程中,在适宜的条件变化下,产品就会因应力释放导致产品变形而发生尺寸变化。

2、开裂。因为应力的存在,在受到外界诱因(力、化学品等)作用下,会诱发应力释放在应力的残留位置开裂。开裂主要集中在浇口侧(特别是电镀件)、转角、螺丝孔、五金镶件孔、超声波熔接 线等位置。

3

3、翘曲变形。因为残留应力的存在使得产品在室温时会有较长时间的内应力释放或者高温时出现短时间内应力释放的过程,同时产品局部存在位置强度差,产品就会在应力残留位置产生翘曲或者变形问题。

国内大品牌声峰超声波焊接机厂家,超声波塑焊机产品广泛运用在医疗器械、电子电讯、塑料包装、汽配行业、无纺布、自动化配套等多个领域。为海内外各行业、企业提供OEM/ODM、代工、批发及稳定性强的优质超声波塑焊设备定制方案。

相关资讯